欢迎访问中共陕西省委党校(陕西行政学院)网站
首页 > 机关建设 > 信息公开 > 正文

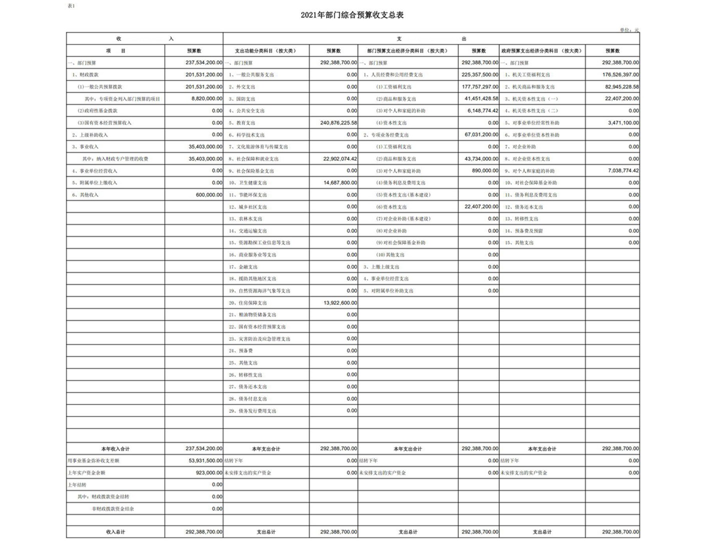
中共陕西省委党校(陕西行政学院)2021年部门综合预算

发布时间:2021-03-05 17:50:54     来源:财务处 分享到:

    按照《中华人民共和国政府信息公开条例》规定要求,现将中共陕西省委党校(陕西行政学院)2021年度部门预算向社会予以公开。



























































   

郑重声明:本网站所有原创内容未经许可,严禁转载,违者我们将保留法律诉讼的权利。

版权所有:中共陕西省委党校(陕西行政学院)陕ICP备07500574号

地址:陕西省西安市雁塔区小寨西路119号邮政编码:710061