欢迎访问中共陕西省委党校(陕西行政学院)网站
首页 > 组织机构 > 研究生院 > 招生信息 > 正文

2026年我校招收硕士研究生一志愿复试考生名单

发布时间:2026-03-23 18:49:59 分享到:

 

副本马克思主义_1.png

副本哲学_1.png

副本政治学_1.png

副本经济学_1.png

副本法律非法学_1.png

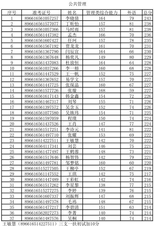
副本公管_1.png

   

郑重声明:本网站所有原创内容未经许可,严禁转载,违者我们将保留法律诉讼的权利。

版权所有:中共陕西省委党校(陕西行政学院)陕ICP备07500574号

地址:陕西省西安市雁塔区小寨西路119号邮政编码:710061